Der Widerstand – ein wichtiges Bauteil für die Elektrotechnik

Sie sind hier: WDF-Startseite

Spannungen auf das erlaubte Maß begrenzen

Widerstände sind existenzielle Bauteile für die Elektronik. Sie sorgen dafür, unzulässig hohe Spannungen auf einen zulässigen Wert zu senken, damit elektronische Bauteile nicht zerstört werden. Damit dies klappt, müssen die jeweils passenden Widerstände ausgewählt und in die Schaltung eingebaut werden. Die Grundlage dafür legen recht einfache Berechnungen sowie die Kenntnis eines Farbcodes.

Elektrische Widerstände gibt es in verschiedenen Bauformen. Dazu zählen Festwiderstände, lichtempfindliche Widerstände, Potentiometer und Kalt- beziehungsweise Heißleiter. Sie dienen zur Strombegrenzung und zählen zu den passiven Bauteilen. Passiv deshalb, da sie keine Verstärkerwirkung haben und auch keine Steuerungsfunktion besitzen.

Funktionsweise

Widerstände haben die Aufgabe, den durch sie hindurchfließenden Elektronen den Durchfluss mehr oder weniger zu erschweren. Erreichbar wird dies beispielsweise im Fall von Kohlemassewiderständen durch die Wahl einer passenden Körnchengröße, deren Packungsdichte durch unterschiedlichen Druck beim Zusammenpressen entsprechend des gewünschten Widerstandswerts angepasst wird. Die Fertigungstoleranzen bei diesen Widerständen sind mit 10 bis 20 Prozent sehr hoch.

Hinzu kommt, dass die Übergänge von Körnchen zu Körnchen echte Problemstellen sind. Erwärmt sich der Widerstand durch die hindurchfließenden Elektronen, so dehnt er sich aus, was einen abreißenden und sofort neu gebildeten Kontakt zwischen den Körnchen zur Folge hat. Das Resultat ist ein starkes Rauschen derjenigen Schaltungen, in denen diese Widerstände eingebaut sind. Wegen ihrer vielen Nachteile werden solche Widerstände so gut wie nicht mehr produziert.

Weit besser sind Kohle- oder Metallschichtwiderstände, die einen homogenen Aufbau besitzen. Sie bestehen aus nichtleitendem Vollmaterial, auf dessen Oberfläche eine leitende Schicht aufgebracht wird. Hier kommt es zur Erzeugung eines bestimmten Widerstandwertes neben der Materialart zusätzlich noch auf die Materialform sowie die Länge des Materials an. Je dicker das Material, desto geringer der Widerstand für die Elektronen. Hingegen steigt der Widerstand, je länger das Material ist.

Da Kohleschichtwiderstände immer noch deutlich rauschen, ist ihre Verwendung stark zurückgegangen. In der Elektrotechnik werden überwiegend Metallschichtwiderstände verwendet, da diese deutlich weniger rauschen, einen wesentlich geringeren Temperaturgang besitzen und zudem eine höhere Temperaturbeständigkeit besitzen. Sie warten zudem mit einer hohen Genauigkeit von nur einem Prozent vom Nennwert auf. In der Industrie sind sogar Metallschichtwiderstände üblich, die nur mehr 0,5 oder gar 0,1 Prozent vom Nennwert abweichen. Auf diese Weise wird das Abgleichen von Schaltungen mit Potentiometern oft überflüssig.

Schaltzeichen:

In Schaltungen werden Widerstände entweder als Rechteck (Europa, DIN 60617) oder als Zick-Zack-Linie (USA, Fernost, ANSI) dargestellt. Sie werden mit dem Buchstaben ›R‹ sowie einem fortlaufenden Zahlenwert gekennzeichnet. Auf den Widerständen selbst werden in er Regel keine Zahlenwerte aufgedruckt. Eine Ausnahme bilden Widerstände in SMD-Bauform. Das Besondere ist, dass hier der Buchstabe ›R‹ auch als Komma genutzt wird.

Info zur Werteangabe:

10R=10 Ohm

K=Kiloohm

10k=10 Kiloohm

1R5=1,5 Ohm

M=Megaohm

1M5=1,5 Megaohm

R005=0,005 Ohm

 

0k5=0,5 Kiloohm

Der Farbcode:

Widerstandwerte werde an herkömmlichen Widerständen mittels eines Farbcodes kenntlich gemacht. Dieser kann drei, vier, fünf oder sechs Ringe umfassen. Der Aufbau ist stets von links nach rechts: Zahlenwert, Multiplikator, Toleranz, Temperatur-Koeffizient. Bei einer Farbcodierung mit sechs Ringen sind daher die ersten beiden Farben die Zahlenwerte, die vierte Farbe der Multiplikator, der fünfte Farbring die Toleranzangabe und der sechste Farbring repräsentiert den Temperaturkoeffizient.

Ermittlung des Widerstandwertes

Zur Ermittlung des Widerstands gibt es Widerstandsuhren, Programme, Internetlösungen oder selbst erstellte Excel-Listen. Wer ganz sicher gehen will, welchen Widerstand das von ihm ausgewählte Exemplar exakt besitzt, der muss den Widerstand mit einem Universalmessgerät ausmessen.

Wichtig ist dabei, dass der Widerstand während des Messvorgangs nicht zusammen mit den Messspitzen des Messgeräts zwischen Daumen und Zeigefinger festgeklemmt wird, da sonst der ermittelte Wert durch den Einfluss des Körpers völlig falsch ausfällt.

Richtig ist es, den Widerstand ohne Berührung mit einem Leiter zu messen.

Das unten stehende Bild 1 zeigt, dass ein 2,2 Megaohm-Widerstand durch den Einfluss von Zeigefinger und Daumen lediglich nur mehr als 1,3 Megaohm-Widerstand ausgegeben wird, was definitiv falsch ist, wie der aufgedruckte Farbcode sowie die korrekte Messung darlegen.

  • Bild 1: Falsche Messung!
  • Bild 2: Korrekte Messung.

Die E-Reihe

Theoretisch könnte die Industrie eine Unzahl an Festwiderständen mit unterschiedlichsten Werten produzieren, was jedoch völlig unwirtschaftlich wäre und zudem gar nicht nötig ist. Man hat sich daher die sogenannte E-Reihe einfallen lassen. Dies ist eine genormte Folge von Werten, die für Widerstände, aber auch für Kondensatoren oder Spulen verwendet wird. Durch die Nutzung dieser Reihen wird sichergestellt, dass Widerstände zu den meisten Elektronikschaltungen in Serie produziert werden können. Zudem ergibt sich der Vorteil einer überschaubaren Lagerhaltung von Festwiderständen.

In gewisser Weise erinnern die E-Reihen an das Passungssystem in der Metallbearbeitung. Dort wird durch dieses System verhindert, dass eine Unmenge an Grenzlehrdornen bereitgehalten werden muss, um unterschiedliche Passungen zu erzeugen. Die Zahl hinter dem Buchstaben ›E‹ gibt übrigens an, wie viele Widerstandswerte pro Dekade zur Verfügung stehen.

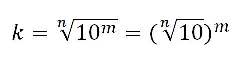
Die Formel zur Berechnung der mathematischen Folge in den E-Reihen ist nebenstehend zu finden:

K entspricht dem Reihenwert. Der Buchstabe n zur Berechnung der Wurzel entspricht der E-Reihe. Wenn die E6-Reihe berechnet werden soll, dann ist n gleich 6. Soll hingegen die E48-Reihe berechnet werden, so ist n gleich 48. Die Potenz m entspricht der Position des zu berechnenden Widerstandwerts. Dabei ist es wichtig zu wissen, dass der Zähler bei Null startet. Soll also der dritte Widerstandswert berechnet werden, so ist hier die Zahl 2 einzutragen. Beim Wert an Position 30 hingegen die Zahl 29.

Da dieses System nicht auf Anhieb verstanden wird, empfiehlt es sich, diesbezüglich die zum Download bereitstehende Excel-Datei herunterzuladen und diese zu analysieren.

Erläuterung zu den E-Reihen:

Angenommen, es wird ein 1,5 Ohm-Widerstand benötigt, so zeigt ein Blick auf die Ergebnistabelle, dass dieser Widerstand mühelos beschaffbar ist, da er ab der E12-Reihe aufgelistet ist. Allerdings ist zu beachten, welche Toleranz in der Schaltung vertretbar ist. Ein Widerstand, der nach Reihe E12 gefertigt ist, hat ein Toleranzfenster von zwanzig Prozent vom Nennwert, nämlich zehn Prozent nach oben und zehn Prozent nach unten. Ein nach Reihe E48 gefertigter Widerstand ist wesentlich präziser, da dieser lediglich eine Abweichung von je zwei Prozent nach oben und unten besitzt.

Manchmal sind jedoch keine passenden Widerstände zur Hand. Oft kann man diesen Mangel beseitigen, indem beispielsweise Trimmpotentiometer genutzt werden, die auf den nötigen Widerstandswert einstellbar sind. Ein Alternative wäre das Schalten mehrerer Widerstände in Reihe, um auf den passenden Gesamtwiderstand zu kommen.

Die Reihenschaltung (UND-Funktion)

Von einer Reihenschaltung wird immer dann gesprochen, wenn Bauelemente hintereinander geschaltet werden. Dies können etwa Verbraucher, Schalter oder eben Widerstände sein. Die Reihenschaltung führt die logische Funktion UND aus, was im Fall von Schaltern leicht nachvollzogen werden kann: Nur wenn alle Schließer betätigt sind, kann ein Strom fließen.

Werden Widerstände in Reihe geschaltet, so summieren sich die Einzelwiderstände zu einem Gesamtwiderstand. Allerdings kann man auf diese Weise auch unterschiedliche Spannungen abgreifen, was immer mal wieder praktisch ist. Sogenannten Spannungsteiler werden in der Elektronik sehr häufig verwendet.

Hat man beispielsweise vier Widerstände mit 100, 1000, 470 und 1200 Ohm in Reihe geschaltet., so kann etwa zwischen Widerstand R1 und Widerstand R3 eine Spannung von 5,1 Volt abgegriffen werden. Eine Überprüfung mit einem Multimeter zeigt, dass die Praxis der Theorie folgt.

Mit einem Infrarotthermometer kann sehr schön beobachtet werden, dass Widerstände den unerwünschten Strom in Wärme umwandeln. Zum Beispiel besitzt der 100 Ohm-Widerstand eine um 0,3 Grad Celsius höhere Temperatur, als die Umgebung.

Die Parallelschaltung (ODER-Funktion)

Von einer Parallelschaltung wird gesprochen, wenn Bauteile nebeneinander angeordnet sind. Der Vorteil dieser Schaltung ist, dass alle Bauteile die gleiche Spannung erhalten.

Wichtig ist zu wissen, dass die einzelnen Widerstände sich nicht zu einem Gesamtwiderstand aufsummieren, wie dies bei der Reihenschaltung der Fall ist. Vielmehr ist es so, dass der Gesamtwiderstand stets kleiner ist, als der kleinste Einzelwiderstand.

Die Formel zum Berechnen des Gesamtwiderstands im Fall von zwei parallel geschalteten Widerständen lautet:

Besitzt der erste Widerstand einen Wert von 100 Ohm, der zweite einen Wert von 1000 Ohm, so lautet das Ergebnis für den Gesamtwiderstand:

Sind vier Widerstände parallel geschaltet, lautet die Formel:

Das Potentiometer

Solange Widerstände relativ ungenau herzustellen waren, wurden präzise Spannungen in Schaltungen mit Potentiometern eingeregelt. Durch die heute möglichen Produktionsmethoden von Widerständen ist dies oft nicht mehr nötig, da etwa Metallschichtwiderstände bis zu einer Genauigkeit von 0,1 Prozent vom Nennwert herstellbar sind. Dennoch werden Potentiometer nach wie vor benötigt, um etwa die Lautstärke in Verstärkerschaltungen oder die Helligkeit von LEDs zu regeln.

Potentiometer sind regelbare Widerstände. Sie gibt es zum Drehen oder zum Verschieben. Bauartbedingt ist es mit diesem Bauteil möglich, eine Spannung aufzuteilen. Dies bedeutet, dass der dem Potentiometer innewohnende Gesamtwiderstandswert durch einen beweglichen Schleifer in zwei Widerstandswerte aufgeteilt wird. Diese beiden Werte ergeben in der Summe wieder den Gesamtwiderstandswert des Potentiometers.

Wird ein Mehrfachmessgerät an die Anschlüsse A und S eines Potentiometers angeschlossen, so kann sehr schön beobachtet werden, wie sich der Widerstandswert durch das Drehen des Schleifers ändert. Er wandert stufenlos von Null bis zum Maximalwert, den das Potentiometer höchstens liefern kann.

Werden nun ohne Positionsänderung des Schleifers die Anschlüsse des Multimeters an den Anschlüssen S und E umgeklemmt, so wird als Widerstandswert derjenige Wert angezeigt, der sich als Restwert bis zum Maximalwert des Potentiometers ergibt.

  • Startwert
  • Endwert

Widerstandsverläufe von Potentiometern

Bei einem Potentiometer mit 22 kOhm Gesamtwiderstand würde sich beispielsweise zwischen den Anschlüssen A und S ein Widerstand von 7,8 kOhm ergeben, während an den Anschlüssen B und S ein Widerstand von 14,2 kOhm zu messen wäre. Werden leicht abweichen Werte gemessen, so ist dies bei Potentiometern mit linearem Verlauf den Fertigungstoleranzen geschuldet. Es gibt allerdings Herstellungstechniken, die eine Produktion von Potentiometern mit logarithmischem und exponentiellem Widerstandverlauf ermöglichen. Welche Eigenschaften das Potentiometer hat, ist in der Regel zusammen mit dem Widerstandswert auf das Gehäuse aufgedruckt.

Besonderheiten

Beim Bewegen des Schleifers nahe an der Endstellung kann es passieren, dass der Strom schlagartig zu groß wird, mit der Folge, dass die Kohlebahn des Potentiometers abbrennt. Um dies zu vermeiden, wird ein Widerstand in Reihe geschaltet. Diese Kombination wird oft derart genutzt, dass ein bestimmter regelbarer Widerstandbereich verfügbar ist.

Ist beispielsweise ein Bereich von 10 bis 32 kOhm gewünscht, so kombiniert man ein 22 kOhm-Potentiometer mit einem 10 kOhm-Festwiderstand. Auf diese Weise bekommt man nicht nur den gewünschten Regelbereich, sondern verhindert gleichzeitig, dass ein Widerstandswert von Null einstellbar ist, der unter Umständen zur Beschädigung der Schaltung führt.

  • Minimaler Widerstandsbereich
  • Maximaler Widerstandsbereich

Der lichtempfindliche Widerstand (LDR)

Lichtempfindliche Widerstände ändern ihren Widerstand mit der Menge des einfallenden Lichts. Je mehr Lux, desto weniger Widerstand besitzt das Bauteil. Wird es jedoch dunkel, was durch Abdecken mit der Hand simuliert werden kann, so steigt der Widerstand sehr schnell an. Dies kann mit einem Multimeter bestens beobachtet werden. Dieses Bauteil eignet sich daher ideal, um Dämmerungsschalter oder ähnliche Vorhaben umzusetzen.

Der temperaturempfindliche Widerstand

Heißleiter (NTC):

Heiß- beziehungsweise Kaltleiter besitzen variable Widerstandskennwerte, die mit Änderung der Umgebungstemperatur variieren. Der dem Heißleiter innewohnende Grundwiderstand bezieht sich auf eine Referenztemperatur von 25 Grad Celsius. Besitzt dieser beispielsweise einen Wert von 10 Kiloohm, so sollte ein Ohmmeter bei dieser Temperatur diesen Wert anzeigen. Steigt nun die Temperatur, so fällt beim Heißleiter der Widerstand und leitet daher den Strom besser.

Die Ursache ist physikalischer Natur: Bei steigender Temperatur werden mehr Elektronen aus ihren Kristallbindungen herausgerissen. Diese Eigenschaft wird technisch genutzt. Heißleiter findet man in Temperaturmessgeräten, dienen zur Temperaturstabilisierung von Schaltungen oder reduzieren den Einschaltstrom in Stromkreisen.

  • NTC: Widerstand 9,3 kOhm bei 27,5 Grad Celsius
  • NTC: Widerstand 7 kOhm bei 36 Grad Celsius

Der Kaltleiter (PTC):

Während Heißleiter bei steigender Temperatur ihren Widerstand verringern, passiert dies bei Kaltleitern in umgekehrter Richtung. Diese haben bei fallender Temperatur einen umso geringeren Widerstand, je weiter die Temperatur zurückgeht. Umgekehrt gilt: Steigt die Temperatur, steigt auch der Widerstand des Kaltleiters. Nahezu alle Metalle sind Kaltleiter, da diese bei niedrigen Temperaturen eine bessere Leitfähigkeit besitzen.

Beide Varianten haben ihre jeweiligen Einsatzbereiche, der sie für jeweils unterschiedliche Aufgabenfelder, etwa als Temperatursensor, prädestiniert.

  • PTC: Widerstand 2,08 kOhm bei 27,5 Grad Celsius
  • PTC: Widerstand 2,13 kOhm bei 36 Grad Celsius

Download:

Eine Excel-Tabelle zum Berechnen des Widerstandswerts beziehungsweise des Widerstands in einer Reihen- oder einer Parallelschaltung ist im XLSX-Format per Klick auf nachfolgenden Button herunterladbar.

Hinweis:

Mit der XLSX-Datei ist keine Reihen- oder Parallelschaltungsberechnung möglich.

Excel-Tabelle im XLSX-Format:


********